요약 - 제5류 자기 반응성 위험물
자기 반응성 위험물( 고체, 액체)
자체 산소와 가연물을 가지고 있어 외부 산소 공급 없어도 연소 폭발
고체 또는 액체로 폭발위험성과 가열분해 위험성 테스트
테스트 방식은
폭발위험성= 열분석 시험, 가열분해 위험성 = 압력용기시험
가연성 위험물이다. 연소시 다량의 가스발생( 폭발, 가열분해)
연소속도 빠르다(산소함유)
화기, 충격,폭발 위험성
강산화제, 강산류와 혼합은 폭발 위험
"질나/ 유니아디하/히히 /일백"
"1등급, 10kg / 2등급, 100kg"
자기 반응성 위험물 특징
자체적으로 산소와 가연물(유기화합)을 가지고 있어 자기 반응성이다.
하이드라진유도체를 제외하고 모두 유기화합물이다.
유기과산화물을 제외하고 모두 질소를 함유한 유기질소화합물
가연물금지, 첩촉, 가열, 마찰금지
산화제, 강산 혼합금지
소분저장, 10KG-20KG-100KG
물로 주수 냉각소화(금수성이 아니라 가연성이다.)
운반용기에 화기엄금/충격주의
질산에스터류(1등급, 10kg)
질산에스터류에 나오는 나이트로는 니트로 반응이지만 질산의 수소원자를 알킬기로 치환한 화합물, H 대신 O - NO2 방식(질산 기와 알킬기가 산소를 끼고 결합)으로 결합 (니트로반응이지만 질산에스터라고 부른다.)
나이트로화합물의 니트로는
탄소에 직접 NO2가 결합. 차이가 있다. (ONO2와 NO2)
나이트로소화합물은 (NO)결합
나이트로셀룰로스, C₂₄H₂₉O₉(ONO₂)₁₁
- 면 화약(Guncotton)
- 셀룰로스(천연 고분자, C6H10O5)에 황산, 질산 혼합-니트로화(11개)
- 셀룰로스의 수산기 2개가 질산에스터화
- 니트로셀룰로스 ( C₂₄H₂₉O₉(ONO₂)₁₁ )
+ 장뇌(camphor 4류 2 석유) + 알코올 = 셀룰로이드 생성
질화도(질소함유량)가 클수록 폭발 크다.
(12.76% 이상 강질화 면, 약질화 면은 10.18~12.76%)
- 알코올, 에터 혼합물에 잘 녹는다. 주수 소화가능
- 락카, 콜로디온 원료
가열, 마찰에 급격히 연소, 건조하면 타격에 폭발,
저장은 물(20%) 또는 알코올(30%)에 습윤(습면)시켜 저장(물, 알코올에 녹는다?)
- 이 방법은 녹이는 것이 아니라 습면(표면을 적신다. 습한 상태)
나이트로셀룰로스 분해식
C₂₄H₂₉O₉(ONO₂)₁₁
==> 24CO2 + 24CO + 12H2O + 17H2, + 11N2
두 개의 나이트로셀룰로스 분해 시 ,
완전히 연소한 이산화탄소 24개
불완전 연소한 24개 일산화탄소(산소 모자람)
섬유소이기에 12개 물과 17개 수소
11개의 질소가 나온다.
산소의 수가 적어 (모두 소모하고 안 나옴) 불완전 연소가 된다.
면화약(Cuncotton), 화약이다
나이트로셀룰로스(질산에스터류)
정제솜(셀룰로스) + 질산에스터화한 화약
12.76% 이상 강질화면,
약질화면은 10.18~12.76%
나이트로글리세린, C₃H₅N₃O₉
글리세린, 글리세롤 C₃H₈O₃ = C3H5-(OH)3
(3개의 수산기를 가진 천연 3가 알코올, 그래서 니트로기가 3개)
글리세린의 3개 수산기를 니트로화 - ONO2로 치환
C3H5-(ONO2)3 = C₃H₅N₃O₉
규조토에 흡수하여 노벨이 만든 다이너마이트 원료
물에 거의 안 녹고, 에탄올, 에테르에 잘 녹음
무색, 투명기름, 공업용은 담황색
알코올, 에터, 벤젠, 아세톤등 유기용제에 녹는다.
상온액체, 동결한다.
저장은 폭발방지 위해 다공성물질(규조토, 톱밥, 소맥분, 전분)에 흡수
NG( C₃H₅N₃O₉ ) 분해식
분해 시 ,
질산에스테르 결합이 끊어지며 급격한 산화·환원 반응 발생
이산화탄소, 물, 질소, 산소가 나온다.
“이질물산”
4C₃H₅N₃O₉
==> 12CO2 + 10H2O + 6N2 + O2
4개의 니트로글리세린이
완전연소로 12개의 이산화탄소(4개의 니트로글리세린이 필요)
산소가 많아 완전연소 - 폭발력 크고 일산화탄소 안 나옴
10개의 물이 수증기로 나오고
폭발력으로 질소가 6개
산소는 내부산화제로 사용되고 1개 남는다.
* TNT, TNP와 다르게 물과 산소가 나오는 이유는 글리세린(4류 제3석유)이 천연고분자이기 때문인가? 아니다 자체 산소가 충분하다.
나이트로글리콜, C₂H₄(ONO₂)₂
- 에틸렌글리콜( 냉각수, 부동액 C2H4(OH)₂)을 니트로화
- 다른 이름은 에틸렌글리콜 디니트레이트(에틸에서 H 대신 질화이온 2개가 붙었다)
- 무색 또는 담황색(분홍색) 액체
- 알코올, 벤젠, 아세톤등 유기용제에 잘 녹는다.
- 산과 함께 분해 폭발한다. 군용 폭탄재료
- 주수 냉각소화
에틸렌글리콜 (C₂H₆O₂) = C2H4 - (OH)2
- 에틸렌에 H 대신 OH 2개가 붙었다.( OH 두 개 붙는 것이 글리콜, 3개는 글리세린)
- 에틸렌글리콜을 니트로화해서 얻는다.
C2H4 - (OH)2 + 2HNO3
--(H2SO4) 니트로화 --
C₂H₄(ONO₂)₂ +2H2O
* 글리콜이 2가 알코올(수산기)을 가지고 있기에 (ONO2)가 두 개 붙었다.
나이트로글리콜 분해
4C2H4(ONO2)2
=> 8CO2 + 4N2 + 8H2O
짝수로만 구성되어 깔끔하게 완전분해한다.
질산메틸 (CH₃ONO₂)
메틸알코올과 질산반응(니트로화 결과물이지만 결합방식이 산소를 사이에 두고 결합한 에스터이다)
CH3OH + HNO3 (황산) => H2O + CH3-O-NO2
- 무색, 투명, 마취, 독성
- 물에 안 녹고, 알코올, 에터에 녹는다.
- 폭발성 거의 없다. 인화성 있다.
- 인화점은 15도로 질산에틸(알코올이 더 쉽게 인화한다)
- 분자량 : 77
4(CH3-O-NO2) => 2N2 + 2CO2 + 2CO + 6H2O
불완전 분해 CO가 생성
* 니트로화 반응에서 황산(H2SO4)은 질산을 이온화(NO2+) 시켜준다.
* 질산메틸(에틸) 시성식 시험에 자주 나온다. (NO2, ONO2 구분 잘하자)
질산에틸 (C₂H₅ONO₂)
에틸알코올과 질산반응(니트로화 결과물이지만 결합방식이 에스터이다)
C2H5-OH + HNO3 - (황산) => H2O + C2H5-O-NO2
- 무색, 방향성
- 물에 안 녹고 알코올에 녹는다.
- 인화점이 10도로 매우 낮다. = > 연소가 쉽다. 인화성이다.
- 분자량 : 91
분해식
2(C2H5-O-NO2) => N2 + CO2 + CO + H2O
완전 분해 안되고 CO가 생성
* 질산(HNO3)은 중성, 수용액이 되어야 산성
질산기 NO2가 탄소와 결합하면 니트로(NO2)
질산기가 산소를 끼고 결합하면 에스터(ONO2) , 니트로결합은 맞다.
셀룰로이드(반투명 고체)
질산에스터류이지만 지정수량은 100kg이다.
셀룰로스(천연 고분자, C6H10O5)에 황산, 질산 혼합 - 니트로화
= 니트로셀룰로스 ( C24H29O9(ONO2)11 ) - 질산에스터류가 되고
= + 장뇌유(camphor 4류 2 석유) + 알코올 추가
= 셀룰로이드(니트로반응의 질산에스터류)
- 질산에스터류로서 폭발성과 인화성
- 연소 시 유독가스 발생 - 시안화수소(HCN), 개미산(HCOOH), 일산화탄소(CO)
- 자연발화 위험 - 고온·고습·햇빛에 장시간 노출, 충격 시 분해되어 발화 가능
* 습도 많으면 자연발화
문제)
질산에스터류 중 무상 주수소화가능한 것은?
니트로글리세린, 질산메틸, 니트로글리콜 =불가능
니트로셀룰로스 = 가능 (천연수지이다)
니트로화합물(1등급 10kg)
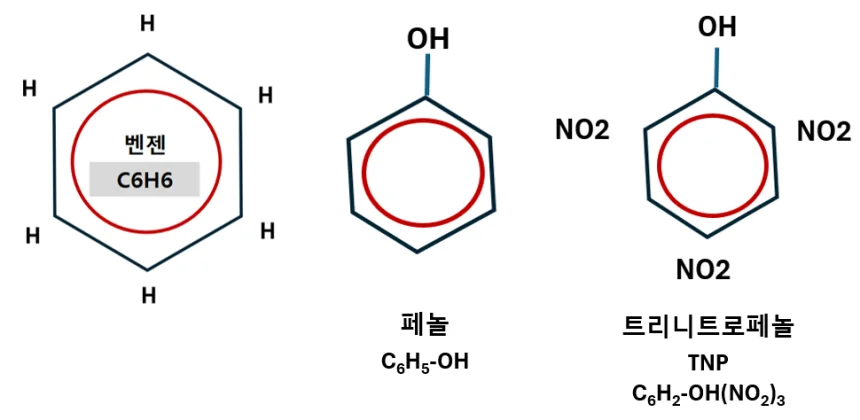
벤젠고리에서 톨루엔, 페놀이 만들어지고 3개의 니트로기(NO2)가 수소와 치환되어 니트로화합물이 만들어진다.
기본 재료
벤젠(Benzene) - (4류 1 석유) - C6H6
톨루엔(Toluene) - (4류 1석유) - C₆H₅-CH3 (메틸기)
페놀 (Phenol) - (4류 2 석유 수용성) - C₆H₅-OH(수산기)
아닐린(Aniline)- (4류 3 석유) - C₆H₅-NH₂ (아미노기)
테트라니트로아닐린(테트릴) - C₆H₂(NO₂)₃N(CH₃)NO₂
트리니트로톨루엔(TNT) - C₆H₂CH₃(NO₂)₃
트리니트로페놀(피크린산 TNP) - C₆H₂OH(NO₂)₃
- 피크린산은 산소가 1개 더 많다.
* 1 기압에서 인화점 21℃ 미만이면 1석유류(벤젠·톨루엔은 방향족)
* 아닐린은 방향족 아민(암모니아에 탄소결합)이다.
니트로벤젠 - C₆H₅NO₂
(니트로벤젠은 3석유류, 폭발 안 함, 안정적이기에 덜 위험하다는 말이다.)
트리나이트로톨루엔(TNT) - C₆H₂CH₃(NO₂)₃
톨루엔에 질산 3개 (3HNO3)를 니트로화(수소와 치환)해서 만들어짐
담황색결정(고체) 타격에 폭발
물에 안 녹음(가수분해 안됨), 가열알코올, 아세톤, 벤젠, 에터에 녹음
일광에 갈색 황변
- 충격에 덜 민감, 타격에 폭발
- 충격강도는 피크린산(TNP)보다 약함
- 분자량 : 227

TNT 분해식
2C₆H₂CH₃(NO₂)₃
=> 2C + 3N2 + 5H2 +12CO
두 개의 TNT가 분해하여 연소되지 않은 고체탄소 2개
폭발 시 3개의 질소기체
반응성 높여주는 5개의 수소기체(수소원자 10개 그대로 기체)
불완전연소한 12개의 일산화탄소
- 산소가 부족해서 불완전 연소가 그 이유이다.
- 이산화탄소 안 나옴, 산소 부족으로 물도 안 나옴
*TNP보다 H가 더 많아 수소가 2개 더 많이 생성
트리나이트로페놀(피크린산 TNP) - C₆H₂OH(NO₂)₃
페놀에 질산 3개(3HNO3)를 니트로화해서 만들어짐
산소가 포함되어 피크린산으로 불림
황색, 쓴맛(글리세린, 글리콜은 섬유질이라 단맛)
알코올, 에터, 벤젠, 온수에 잘 녹음(산이니까?)
단독 가열 충격, 마찰에 안전, (검은 연기)
중금속반응으로 피크린산염 발생 -(구리, 납, 아연)
금속염과 혼합 시 폭발
염료로도 사용, 뇌관의 침장약
-건조할수록 위험하다.
-분자량 : 229
* TNT는 -CH3(15), TNP는 -OH(17), 둘 사이의 분자량은 2 차이 난다.

* 헷갈리지 마라, 피크린산은 페놀의 OH가 아니라 페놀의 벤젠고리의 H 세 개와 질화이온이 치환된 것이다. 또한 특징도 잘 알아야 한다. 시험에서는 품명을 제시하기도 하지만 특성만 제시하고 분해식을 쓰라는 것도 있다.
TNP 분해식
2C₆H₂OH(NO₂)₃
=> 2C + 3N2 + 3H2 +6CO + 4CO2
두 개의 TNT가 분해하여
연소되지 않은 고체탄소 2개
폭발 시 3개의 질소기체
반응성 높여주는 3개의 수소기체(수소원자 6개 그대로 기체)
불완전히연소한 6개의 일산화탄소, 여전히 산소 부족으로 물이 생성 안 됨
완전 연소한 이산화탄소 4개 나옴(산소가 TNT보다 많음)
테트릴(Tetryl)
= 테트라니트로아닐린(4개의 니트로기)
= C₆H₂(NO₂)₃N(CH₃)NO₂
- 아닐린의 벤젠고리에서 3개의 나이트로결합, 아미드기에서 1개의 나이트로 결합
- 노란색 결정고체
- 충격·마찰·열에 민감, 취급 시 극도의 주의 필요
- 물에는 거의 녹지 않음, 아세톤·벤젠 등 유기용매에는 녹음
- 가열 시 분해 후 폭발
- 독성 있음 ( 피부 흡수 가능)

문제)
자기 반응성이 아닌 니트로화합물
니트로벤젠( C₆H₅NO₂)
- 인화성 있으나 폭발성이 없어서 5류 2등급이 아니라 4류 제3석유류 인화성 액체로 됨
유기과산화물(2등급 100kg)
-(CH 고리에 과산(퍼옥사이드)화
유기물에 산소(-O-O-)결합으로 대단히 위험하다.
과산화벤조일
= (벤조일퍼옥사이드 BPO)
=(C6H5CO)2O2
톨루엔 (C6H5-CH3) 산화(-2H, + O2) => C6H5-CH-OO
C6H5COOH (벤조산 생성)
C6H5CO- 벤조일기(OH 가 치환)
2(C6H5CO) + O2 = 과산화벤조일
무색, 무취, 백색 결정,
강산화성(과산소결합)
물에 안 녹음(벤젠기반) 알코올에 용해
마찰, 충격, 가열로 폭발
발화 시- 연소속도 빠르고, 건조상태 폭발위험
사용량 - 소맥분 1kg 당 0.5g 이하
분말, 모래, 대량화재는 물
* 시성식이 시험에 가끔 나옴
과산화메틸에틸케톤
= 메틸에틸케톤퍼옥사이드 (MEKPO)
= C8H16O4
= (CH3-CO-C2H5)2O2
메틸에틸케톤 - CH3-CO-C2H5 = C4H8O
과산화 메틸에틸케톤은, 2(C4H8O) + 산소 2개가 반응 = C8H16O4
- 특이 냄새, 기름 액체(상온에서 액체)
- 물에 약간 녹고 알코올, 에터, 케톤에 잘 녹는다.
- 희석제로는 프탈산디메틸, 프탈산디부틸이 있다.
- 40도에서 분해, 110도에서 발열 분해가스 연소
*메틸에틸케톤은 부탄올의 산화로 만들어 짐
*C4H9OH = > 산화(-2H) => C4H8O = CH3-O-C2H5
과산화아세트산
C2H4O3, =CH3COOHO =CH3COOOH
인화점 41도
아세트산 + 과산화수소 산화환원반응으로 제조
CH3COOH + H2O2 = CH3COOOH + H2O
시험에 안 나옴
니트로소화합물(2등급 100kg)
유기화합물(벤젠고리 같은)의 수소 원자가 니트로소기(–NO)로 치환된 화합물
(-NO₂) = 니트로기
(-NO) = 니트로소기(질소가 산소와 단일결합)
제5류 2등급 100kg(유기과산화물과 같은 위험물질)
산소함유, 자기 연소, 폭발
불안정하며 연소속도 빠름(5류 특징)
가열, 마찰, 충격에 폭발
다량의 주수소화
니트로소화합물 종류
파라다이나이트로소 벤젠 - 황갈색, 도무 가황제의 촉매제
다이나이트로소 레조르신 - 흑회색, 폭발성
다이나이트로소 펜타메틸렌테드라민 - 크림색분말 가열, 산을 가하면 폭발
아조화합물, 디아조화합물
아조- 탄화수소에 아조기( -N=N-) 질소 2개가 이중결합
디아조 - 탄화수소에 아조기( -N=N-) 질소 2개가 3중 결합
폭발성 낮지만 자기 반응성, 발포제 등으로 사용
아조는 안정, 디아조는 매우 불안정(폭발성 강함)
아조벤젠(염료로 사용)
아조 피스아이소부티로니트릴(ABIN)
히드록실아민 (NH₂OH)
히드록실기(수산기)에 아민기가 결합
매우 폭발성이 강함, 특히 가열·금속, 산화제 접촉 시 발화
특징 산화성·환원성 모두 있음, 자연발화 가능성 있음
* 히드록실아민과 하이드라진은 다르 화합물이다.
* 철이온 투입방지, 운송 시 온도, 농도 주의
히드록실아민염류
수용성, 산과 반응해 염 형성, 금속과 접촉 시 발화 가능성 있음
화기·충격·마찰 엄금
금속 이온(Fe, Cu, Ni 등)과 접촉 금지
산화제, 강산류와 혼합 금지
습기와 CO₂에도 서서히 분해됨, 밀폐 저장 필수
히드록실아민염류 종류
황산히드록실아민 NH₂OH·H₂SO₄, 수용성, 강산성, 폭발성 있음
염산히드록실아민 NH₂OH·HCl, 수용성, 강산성, 불안정함
질산히드록실아민 NH₂OH·HNO₃, 강산성, 폭발성 매우 강함
아질산히드록실아민, NH₂OH·HNO₂, 산화·환원 동시에 가능
하이드라진 유도체 (Hydrazine derivatives)
구조체는 N₂H₄ (히드라진)
제5류 위험물 – (Ⅱ등급), 100kg
강한 환원성, 자연발화 가능성, 독성 강함
용도 로켓 연료, 고분자 중합개시제, 제약 중간체 등
공기 중에서 산화되어 발화 가능
금속 이온·산화제와 격렬하게 반응
독성 강함, 흡입·피부 접촉 주의
행안부령 5류 위험물
질산구아니딘 (Guanidine nitrate)
- 질산염류이다.(질산암모늄)
- CH₆N₄O₃
- 구아니딘(C(NH₂)₃) + 질산(HNO₃) 결합 형태
고체, 백색 결정, 폭발성 강함, 수용성
용도 폭약, 추진제, 점화제, 고체연료 등
충격·열·마찰에 민감
습기와 반응 시 분해 가능성 있음
산화제와 혼합 금지
아지화합물
- 아지드기(–N₃)를 포함한 화합물
- 질소 3개가 직선형으로 연결된 구조
- 고에너지 구조, 충격·열·마찰에 매우 민감
- 다량의 주수 냉각소화, 화기엄금
- 충격, 마찰, 열에 극도로 민감
- 금속과 접촉 시 폭발성 염 형성 가능
- 건조 상태일수록 위험성 증가
- 밀폐·소분 저장, 강산·산화제와 혼합 금지
아지화합물 종류
| 아지드화나트륨 (NaN₃) |
백색 결정, 자동차 에어백 원료, 폭발성 강함 |
| 아지드화납 (Pb(N₃)₂) |
기폭약, 금속염 형태, 충격에 민감 |
| 아지드화은 (AgN₃) |
불안정한 결정, 자연발화 가능성 |
'기능사자격증으로 > 위험물기능사 필기대비' 카테고리의 다른 글
| 위험물기능사 실기 - 화학식, 시성식을 위한 산화수 이해하기 (0) | 2025.09.24 |
|---|---|
| 위험물기능사 실기 - 화학식의 접두어 (0) | 2025.09.24 |
| 위험물기능사 필기 - 제4류 인화성액체 (0) | 2025.09.03 |
| 제6류 위험물 과염소산 질산 과산화수소 반응식 (0) | 2025.09.01 |
| 위험물기능사 필기 - 제6류 위험물 요약 (0) | 2025.09.01 |
| 위험물기능사 필기 요약 - 제조소 소화설비 소요단위 (1) | 2025.08.28 |
| 위험물기능사 필기 요약 위험물 취급소 (2) | 2025.08.27 |